2026-01-16 - الجمعة
آية زكريا: لا أسعى للتريند وأركز حالياً في مشروعي الخاص nayrouz اختتام دورة محرر الأخبار في معهد تدريب الإعلام العسكري nayrouz وفيات الأردن اليوم الجمعة 16-1-2026 nayrouz وفاتان إثر حادث دهس على طريق رحاب بالمفرق nayrouz الفاهوم يكتب المستشار الحقيقي… عقل المؤسسة الصامت nayrouz ابراهيم دياز يتصدر قائمة هدافي كأس أمم افريقيا 2025 قبل النهائي nayrouz والدة الزميل الصحفي في وكالة الأنباء الأردنية بترا أمجد العوامله في ذمة الله nayrouz ادانة أممية لدخول الاحتلال ممتلكات الأمم المتحدة في القدس المحتلة nayrouz مصرع 10 أشخاص جراء الفيضانات في جنوب أفريقيا nayrouz المليطي يكرّم نيروز الإخبارية لإبرازها جهود فريق أهل العزم والدفاع المدني...صور nayrouz خلدون الجدوع العوامله: الأردن يكرّم الضيف… وسياساته تُدار بحكمة الدولة nayrouz جامعة الزرقاء تهنئ الأسرة الهاشمية بذكرى الإسراء والمعراج nayrouz بكين تدخل على خط الأزمة.. الصين تعرض الوساطة بين واشنطن وطهران nayrouz هيئة شباب جامعيين كفرنجة تنظم محاضرة بمناسبة الاسراء والمعراج.. صور nayrouz السعودية تقدم 90 مليون دولار دعمًا للبنك المركزي اليمني لصرف مرتبات موظفي الدولة عن شهرين nayrouz بلدية إربد الكبرى تنفذ أعمال صيانة شاملة لتحسين تصريف مياه الأمطار شرق سوق الخضار المركزي nayrouz الزراعة: توريد مليون لتر زيت زيتون للمؤسسات الاستهلاكية مطلع شباط nayrouz صدور قرار تأجيل انتخابات مجلس أمانة عمان لـ6 أشهر في الجريدة الرسمية nayrouz المتقاعدين العسكريين تبدأ إعادة اشتراكات صندوق التكافل اعتباراً من آب 2025 nayrouz الاحتلال الإسرائيلي يمنع وزير شؤون القدس من دخول الضفة الغربية لستة أشهر nayrouz
وفيات الأردن اليوم الجمعة 16-1-2026 nayrouz والدة الزميل الصحفي في وكالة الأنباء الأردنية بترا أمجد العوامله في ذمة الله nayrouz ابناء المرحوم محمد جبر سعود العزام " ابو عماد " يعزون بوفاة الحاج علي قويدر "ابو ماجد " nayrouz وفاة النائب السابق عبد الكريم الدرايسة nayrouz الدكتور نزار الملكاوي يعزّي معالي يوسف العيسوي بوفاة شقيقته nayrouz تعزية لمعالي رئيس الديوان الملكي الهاشمي يوسف العيسوي بوفاة شقيقته. nayrouz الجيش ينعى العميد زيد العدوان nayrouz وفيات الاردن ليوم الخميس الموافق 15-1-2026 nayrouz الشيخ عاصم طلال الحجاوي يعزي رئيس الديوان الملكي بوفاة شقيقته nayrouz الشيخ تركي الفضلي يعزي رئيس الديوان الملكي بوفاة شقيقته nayrouz "نايل بادي الدماني " ابو ثامر" في ذمة الله nayrouz الدكتور بشير الزعبي وعائلته يعزون رئيس الديوان الملكي بوفاة شقيقته nayrouz الكابتن الطيار وائل العبداللات يعزي رئيس الديوان الملكي الهاشمي بوفاة شقيقته nayrouz الرحال الدولي السعودي محمد الهمزاني يعزي رئيس الديوان الملكي الهاشمي بوفاة شقيقته nayrouz الشيخ محمد فالح الكليبات الحويطات يعزي رئيس الديوان الملكي في وفاة شقيقته nayrouz عشيرة العميشات تنعى فقيدها جهاد محمد علي العميشات nayrouz الشيخ محمد مصطفى سليمان بني هذيل يعزي معالي يوسف العيسوي بوفاة شقيقته nayrouz رجل الأعمال غالب الشلالفة يعزي معالي يوسف العيسوي بوفاة شقيقته nayrouz الشيخ محمد مضحي الشمري يقدّم التعازي لمعالي يوسف العيسوي بوفاة شقيقته nayrouz مجلس عشائر جبل الخليل ينعى شقيقة رئيس الديوان الملكي الهاشمي المرحومة صبحية العيسوي (أم أنور) nayrouz

وزارة الصحة تدعو مرشحين للمقابلة الشخصية.." أسماء"

{clean_title}
نيروز الإخبارية :
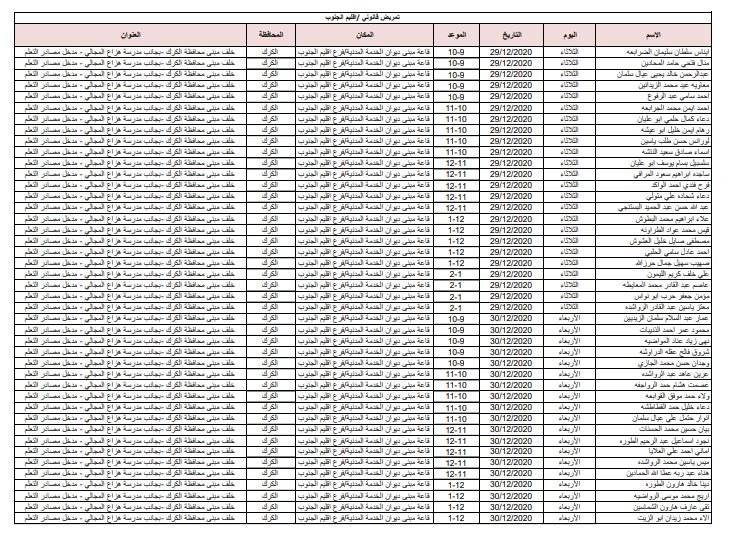
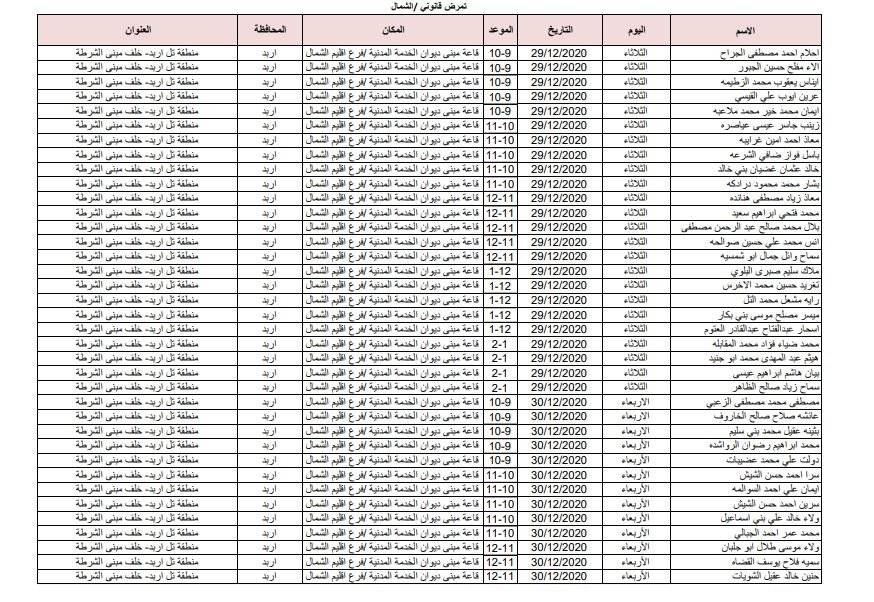
دعت وزارة الصحة بالتعاون مع ديوان الخدمة المدنية المرشحين من الذين تم اختيارهم وفقا لعلامة الامتحان التنافسي والمدرجة اسماؤهم، التواجد في الوقت والمكان المحدد وحسب ما هو مبين لإجراء المقابلة الشخصية.

وطالبت الوزارة منهم ضرورة الحضور الى المقابلة في الموعد المحدد مصطحبين البطاقة الشخصية الصادرة عن دائرة الاحوال المدنية والجوازات سارية المفعول وقلم حبر ازرق جاف.

وأشارت إلى أنه لن يتم السماح لاي من المرشحين بدخول قاعة المقابلات ما لم يتم  الالتزام ببروتوكول السلامة العامة بارتداء الكمامات مع الكفوف والتباعد الجسدي وتحميل تطبيق امان وكل من يتخلف عن حضور المقابلة يعتبر مستنكفا.